在各行各业都全力拥抱“大数据”的今天,随着获客成本的急剧攀升,竞争日益残酷,一个APP想从海量APP中脱颖而出,让用户下载、注册和使用它,甚至忠于它,很大程度上取决于产品是否满足用户的需求。因此,APP设计者只有充分了解用户,才能更好地获取用户、服务于用户,于是便有了现如今被广泛使用的用户画像的概念。
01
什么是用户画像?
用户画像,即用户信息标签化。用户信息包括用户的基本信息、社会属性信息、人口统计学信息和在APP上的行为信息等。根据用户真实数据,通过建立用户模型,将用户的各项属性和特征抽象为一个个的标签,供上游其他系统使用。原始的用户画像不仅仅包含标签,还包含权重。
如下图所示,通过用户画像,目标用户身上被打上了许多许多的标签,其中字体越大的即说明对应权重值越高。

02
为什么要做用户画像?
用户画像的主要工作是用户信息的标签化,一个个的标签非常适合计算机进行处理。没有用户画像的情况下,日常运营活动、广告投放、产品功能优化等要么全量进行,要么凭经验预估进行,有需要的用户可能没收到推送,没需要的用户无端受到打扰,因此对用户造成损害的同时,也在浪费成本,且用户画像的缺失,会导致无法对效果进行细致评估。有了用户画像,这些日常工作将收到事半功倍的效果。
03
用户画像的应用
用户画像的应用非常广泛,因其囊括了用户相关的大量信息,在很多场景下都可以发挥其威力,下面我来为大家介绍下其常见的四种典型应用场景:
1
个性化推荐
一个APP的用户量级动辄成千上万乃至上千万,用户与用户之间千差万别,更重要的是,如今各种信息过载,那么挑选用户所喜欢的内容及时送到用户面前,是任何一个APP成功“黏”住用户的必备技能之一,因此,基于用户画像而进行的个性化推荐就显得十分有必要了。

2
广告精准营销
任何一个APP最终要解决的都是如何实现商业变现,承接广告是普遍采取的方式之一。可是,该承接什么样的广告、怎样让广告主信服你的APP能带来收益、如何合理的去实施广告投放都是首先要解决的问题。因此,你必须对你的用户有一定的了解,比如,是男性用户偏多还是女性用户偏多,年龄分布,家庭收入如何,消费水平和消费记录是什么样的,有没有什么特殊的偏好等等,当有了完整的用户画像体系,对用户的这些信息都一清二楚以后,就可以对广告主的各种投放需求(比如广告主只想投放北上广喜欢看综艺的用户)做更好的承接,也可以做广告的精准投放,知道什么广告该给什么样的用户投放。

3
产品布局
一个产品设计之初,有一定的目标用户定位,但随着产品的发展,未来的发展规划,还需结合用户的特性来调整和改变。比如OTT端智能电视类视频APP,设计之初是面向家庭用户,发展一段时间以后,通过用户画像发现,家庭组成中有小孩的居多,于是衍生出一款独立APP,专门针对有小孩的家庭用户,新的APP以少儿类视频节目和少儿教育课程为主,通过课程收费实现收益。

4
精细化运营
随着产品功能的不断丰富和用户量的不断增多,用户的需求与产品功能之间的匹配关系需要得到精细化的运营。而精细化的运营就是通过用户分群,对不同需求的用户匹配不同的服务和内容,从而满足其个性化的需求,以更好的完成运营中拉新、促活的工作。

04
用户画像的生成过程
1
数据采集
采集数据时,需要根据用户画像的构建目标采集多维度的数据,像用户的基本信息数据、社会属性数据可通过用户访谈、用户信息填写及问卷等方式获得,而用户的人口统计学数据和行为数据需要通过埋点等方式获得。
2
数据预处理
数据预处理包括数据清洗、数据结构化处理、数据合并等基础工作,数据清洗主要是过滤无效或者虚假数据,针对特定的业务系统如用户画像而言,还包括过滤掉非目标数据;而数据结构化处理、数据合并等需结合具体业务和应用场景,整合出用户信息雏形。
3
数据标签化,并赋予权重
在这一步是将得到的各项用户信息映射到对应的标签上,且给各个标签赋以相应的权重,而权重值的计算是用户画像标签体系得以构建的关键,以视频类APP中所有内容偏好的标签信息都基于用户的播放行为产生为例,某标签的行为用户越多,权重则越高,且随着时间的推移,权重值会相应的发生变化。下面给出一个生成用户标签及对应的权重的实现方案。
Step 1:确定行为几率与行为用户占比
其中,
表示的是用户u在标签 i 观影的次数;表示用户u的所有标签的观影次数;
表示的是全量用户中标签 i 的用户数;T表示全量标签数;

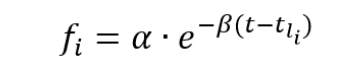
Step 2:时间衰减

其中,与表示的是参数;t表示的是当前时间;表示的是标签i的最后一次播放行为;
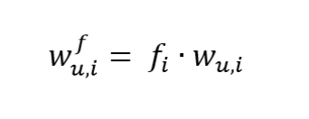
Step 3:确定权重

最终,
用户喜欢观看的各视频类型的标签数据如下:

4
生成画像
每个用户的所有信息生成标签并得到权重值以后,一个用户的所有标签合并起来组成该用户完整画像,最终生成的用户画像数据落地入库,每日计算更新,然后再根据各业务应用场景的不同需求进行调整和对接,比如与会员运营平台、广告运营平台等打通,为之提供决策支撑。
05
结语
了解是采取行动的前提,怎样才能获得用户的关注,取决于你有多了解用户以及他们的需求,就像追求恋人,投其所好方能终成眷属,所以,通过构建用户画像才能使得产品更贴近用户的需求,获得用户的青睐与信任。
联系我们请点击: